【甲型海洋性貧血-特殊帶因】一般人對海洋性貧血的固定觀念都是從重度乙型海洋性貧血的病童而來,認為海洋性貧血是很嚴重的疾病。海洋性貧血主要分為甲型(α型)和乙型(β型)。台灣地區帶因者甲型(5%)比乙型(2%)多。甲型(α型)乃α血球蛋白鍊的合成減少,乙型(β型)乃β血球蛋白鍊的合成減少,主要病變是量的問題。
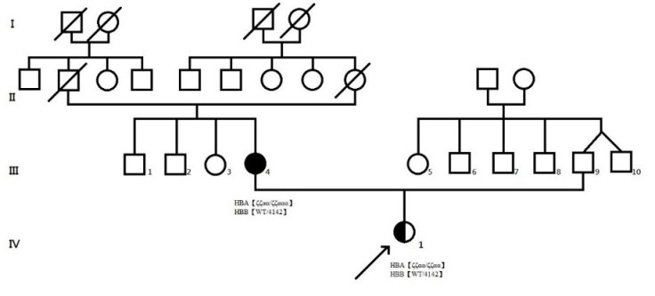
9歲的瑋瑋是台美混血兒,媽媽是台灣人。媽媽為海洋性貧血帶因,同時帶有甲型與乙型,但其甲型帶因型別和一般常見缺少兩個α血球蛋白的帶因者不同,瑋瑋的媽媽反而有異常增加的α血球蛋白,導致瑋瑋媽媽需要輸血、脾腫大、和活動易喘的情況。媽媽擔心瑋瑋遺傳到她的基因,故2017年底帶瑋瑋回台灣進一步抽血檢查以及基因檢測,隨即返回美國。2018年1月份瑋瑋的海洋性貧血基因報告完成,為乙型海洋性貧血帶因者。電子信件通知瑋瑋媽媽時,從信件中就能感受到媽媽如釋重負的心情。
遺傳模式
海洋性貧血為一種遺傳性之血液疾病,此貧血是紅血球中血紅素(hemoglobin)的血紅蛋白(globin)中的血紅蛋白鏈發生了合成缺陷,導致紅血球被破壞並且產生溶血的情況,此疾病為國人最常見之先天性貧血的原因。一般而言在每個人身上有4個α基因(αα/αα)和4個β基因(ββ/ββ),海洋性貧血的主要分型甲型(α型)和乙型(β型),就是這樣分類的。
甲型海洋性貧血常見的帶因為丟失了2個α的帶因者(αα/- -),然而以瑋瑋的媽媽來說,她的基因卻是(ααα/αα)合併乙型帶因。當此組合出現,由於乙型海洋性貧血會受到甲型海洋性貧血的協同作用,進而影響嚴重度,所以當乙型海洋性貧血帶因合併甲型多一個α時,會加重蛋白鏈的不平衡,而產生海洋性貧血中重症的臨床表現症狀。
為預防重症胎兒的出生,最重要的是了解夫妻兩人是否皆為帶因者。如果碰巧兩人皆為帶因者,應該在懷孕10週以後接受絨毛採樣,利用胎兒的DNA分析其兩個血紅蛋白基因是否皆有缺陷,如此就可以避免罹患重型海洋性貧血胎兒的出生。
此為禾馨醫療個案 非經同意請勿轉載


發表留言