不進則退
或許
有人記得我前一陣子曾經跟大家分享的這個故事吧
👇
👇
👇
👇
在科學上,答案常常就在我們眼前,只是,我們看不透
https://drsu.blog/2018/01/19/super180119/
這是關於一位早期懷孕的孕媽咪
意外發現淋巴癌的故事
不斷有同學很好奇
一直問我
結局呢?
恩恩
這樣說吧
在大部分的狀態
人生是一種進行式
沒有結局。
但
在這個狀態
沒有結局
應該是一件好事
至少
在這件事情上是這樣的
經過在孕期中的積極化學治療
很令人振奮的
這位媽咪順利地在上個月生下了她的小寶貝
媽媽跟小朋友狀況都很棒
當然
還是必須持續治療
臨床上
腫瘤消失了
同時間
我們利用最新的癌症液態切片基因診斷技術同步幫她進行追蹤
有關液態切片由此去
👇
👇
👇
👇
今天來聊聊液態切片吧
https://drsu.blog/2018/05/11/super180511
同樣的
結果都是樂觀的
透過基因檢測
突變的基因也消失了
即便在孕期中
看著消失的突變基因
我們堅信
化學治療是有效的
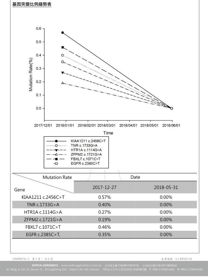
從圖片中
可以看到
去年12月27日在剛診斷時的血液中
可以看到許多屬於癌細胞的基因突變
但經過積極治療後
在今年的5月31日
血液中已經找不到突變的基因
消失了。
根據目前的研究
基因診斷可以比臨床上的影像診斷提早188天看到腫瘤的變化
也就是說
我們
多了半年的反應期
半年
重要嗎?
這樣說吧
如果你可以在大地震來臨提前半年先知道
你覺得重不重要?
科技
始終來自於人性
也必須能夠被實踐在人類的健康照護上
我自己是這麼認為的
希望
讓更多生命可以回到正常的軌道
真的很美好。
這是有關癌症液態切片的新粉絲專頁
有需要的可以參考追蹤一下
👇
👇
👇
👇
https://m.facebook.com/cancernewinfo/

